氧化銦錫(ITO)薄膜因其優異的光學、電學及機械性能,被廣泛應用于有機發光二極管面板、光伏電池及半導體集成電路等領域,已成為現代光電產業中不可或缺的功能材料之一[1-5]。目前,ITO薄膜主要是將ITO靶材通過磁控濺射技術制備而成[6]。我國是全球最大的ITO靶材原材料(銦)生產國,但ITO靶材制備產業鏈面臨壓坯成形形變突出、燒結體受熱不均而開裂等關鍵問題,如何制備出高致密度、高均勻性的ITO靶材成為當前的主要研究熱點之一[7]。
粉末冶金(PM)作為當前生產ITO靶材的主要方法,具有能耗低、材料利用率高、近凈成形等優勢,已被廣泛應用于冶金、材料、機械加工等領域[8]。其中,燒結是PM工藝的核心步驟,適宜的燒結條件對最終成品的致密度及物理性能起著決定性的作用[9]。由于設備因素及自身材料屬性的限制,工業使用的大長徑比ITO旋轉靶材主要采用常壓燒結法制備[10]。目前國內外對于ITO靶材PM制備的研究大多以物理實驗為主。朱歸勝等人[11]探究了溫度與粒徑配比對燒結過程的影響,在1580℃的燒結溫度下獲得相對密度達99.3%的靶材。Liang等人[12]證明添加Bi2O3-Nb2O5燒結助劑可在較低溫度下(1450℃)得到相對密度達99.6%的靶材。Zhai等人[13]通過控制升溫速率與延長保溫時間,在 1550 °C的燒結溫度下制得相對密度達 99.31%的靶材。物理實驗能夠較好地描述不同工藝參數與燒結體宏觀特性之間的關系,但實驗成本高、周期長、難度大,且難以對粉末的應力/應變分布、燒結坯的相對密度變化等“黑箱過程”進行原位表征。而這些不足可以通過計算機數值模擬來有效克服。當前對 ITO靶材 PM制備的數值仿真研究并不多見,只有本課題組的 Liu等人 [14]和 Zhang等人 [15]采用離散元法(DEM),從顆粒尺度分別對 ITO粉體的 PM充型與成形過程進行了三維數值模擬,而對 ITO粉末壓坯燒結過程的數值仿真研究尚未見相關報道。
本研究采用有限元法(FEM)對 ITO靶材 PM制備過程中的常壓燒結過程進行宏觀連續尺度模擬。系統研究燒結溫度及升溫速率對 ITO粉體致密化行為的影響規律,分析燒結過程中 ITO粉末的流動行為、燒結坯相對密度及應力/應變的變化及分布。優化 ITO靶材的燒結工藝參數,為實際 PM制備高致密、長節距的 ITO旋轉靶材提供參考。
1、研究方法
1.1控制方程
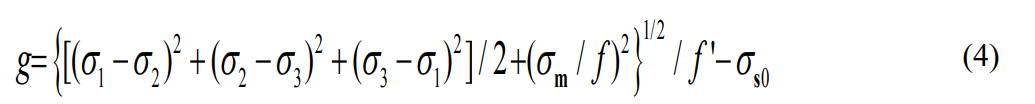
模擬中使用目前被廣泛用于描述多孔粉體材料流動行為的 Shima屈服準則 [16?17]:

式中, F是與基體屈服能力相關的一個重要參數; σ 1 、σ 2 、σ 3 分別為三個主應力,其中 σ m = (σ 1 + σ 2 + σ 3 ) /3; f為等靜壓分量 σ m 對多孔體的影響程度,它與多孔體的相對密度有關。因此,式(1)可表示為:

式中, f ′ = σ s /σ s0 為施加在多孔介質上的屈服強度與基體屈服強度的比值,同樣是相對密度的函數;當 σ s0 用考慮材料加工硬化的屈服強度 σ eq 代替時,則式(2)可適用于加工硬化的多孔體,表示為:

根據塑性力學理論,式(3)可改寫為:

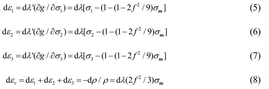
式中,g為塑性式,可通過主應力的偏導表示主應變增量( dε 1 、dε 2 、dε 3 ):

式中, ε 1 、ε 2 、ε 3 為三個方向上的主應變; ε v 為體積應變; ρ為相對密度; dλ為正比例常數。若 dε eq 為多孔材料的等效應變,則多孔材料單位體積的塑性功 dW為:

將方程(5)、(6)、(7)代入方程(9)中, d λ可表示為:

將方程(10)代入方程(9)中,結合方程(4),可得:

多孔粉體材料的表現形式受參數 f和 f'的影響,在 Shima本構方程中,對兩者的表達式分別為 [18]:

式中,對于 ITO粉末, q 1 、q 2 、q 3 、q 4 分別為 0、 1、 1、 2.5; b 1 、b 2 、b 3 、b 4 分別為 5.9、-5.9、1、-0.514。
1.2模型構建
以實際生產中所使用的壓坯尺寸為標準(圖 1(a)),構建 ITO粉末常壓燒結過程中宏觀連續尺度的有限元模型,徑向尺寸為 15mm,軸向尺寸為 270 mm [19]。考慮到圓柱體在 X、 Y、 Z方向上的對稱性,在保證計算結果準確性的前提下,采用 1/8模型進行模擬 [20],從而節省計算成本,提高效率。圖 1(b)給出了模擬中所使用的幾何模型和網格劃分。

1.3模擬條件
在 FEM模擬中,多孔陶瓷材料的泊松比和楊氏模量可以表示為相對密度的函數 [9]:

式中, v ps 為材料的泊松比, ρ為材料的相對密度, E為材料的楊氏模量, E 0 為全致密材料的楊氏模量。表 1列出了 ITO粉末常壓燒結模擬所需要的其它物性參數。
表 1 ITO粉末的物性參數 [21]
Table 1 Physical properties of ITO powder[21]
| 物性參數 | 數值 |
| 密度 (kgm?3) | 7155 |
| 黏度 (m2s?1) | 1000 |
| 比熱容 (JKg?1 °C ?1) | 356 |
| 熱膨脹系數 (10?6 °C ?1) | 6.15 |
| 熱導率 (Wm?1 °C ?1) | 12 |
模擬中, ITO粉體定義為變形體,粉體之間的摩擦系數設定為 0.2 [22]。壓坯相對密度為 0.58 [19],初始溫度取室溫 25 °C。對 1/8模型的軸對稱邊界節點施加位移約束,對ITO壓坯的非軸對稱面施加單元面對流以模擬燒結工況 [20]。圖 2為實際生產中常壓燒結過程的溫度加載曲線。具體模擬條件見表 2。

表2工況加載設定與分析選項設定
Table 2 Load case configuration and analysis options configuration
| 工況加載設定 | 分析選項設定 |
| 迭代法:全牛頓-拉夫森迭代法 | 非線性方法:基于大應變的更新拉格朗日 算法 |
| 收斂判據:殘余力或位移 | 接觸判定:面段對面段法 |
2、模型驗證
網格劃分對數值模擬的效率和準確性至關重要,本研究首先進行網格無關性驗證。圖3為不同網格數量下,ITO燒結坯平均相對密度隨時間的變化曲線。由圖可見,當網格數量大于等于 40000時,三種網格的 ITO燒結坯相對密度變化基本一致。為確保計算成本和精度,本研究采用40000的網格數進行后續ITO壓坯的燒結模擬。

在模型驗證方面,將本研究的數值模擬實驗與前人的物理實驗中在不同燒結溫度下獲得的燒結坯平均相對密度[13,23]進行對比,模型驗證實驗中升溫速率固定為9℃/min,保溫時間恒為 10 h [13]。如圖 4所示,可以看出,二者具有很好的一致性,誤差均在 5%以內,表明本研究所構建的仿真模型是準確有效的。

3、結果與討論
3.1 ITO粉體壓坯燒結致密化分析
圖5顯示了ITO燒結坯平均相對密度及燒結坯徑向收縮率隨時間的演變。圖5(a)中的結果表明,從25℃升溫至1200℃的過程中,ITO燒結坯的平均相對密度提升約4%,致密化程度較小;在1200℃至1580℃的升溫階段,燒結坯的平均相對密度提升約35%,是ITO燒結坯致密化的主要階段,與前人研究結果相似[11]。通過進一步分析燒結坯徑向收縮率隨時間的變化規律(圖5(b))可以發現,由25℃升溫至1200℃的過程中,ITO粉體開始黏結,粉體之間由于燒結頸的形成出現由點接觸變成面接觸的趨勢,這一階段燒結坯的尺寸收縮并不明顯;在1200℃至1580℃的升溫階段,粉體粒子之間的燒結頸開始長大,ITO粉體之間的距離縮小,形成微小的孔隙網絡[11,13]。隨著燒結溫度的逐漸升高,孔隙閉合直至消失,燒結坯的尺寸收縮率進一步提升,約為16%。

圖6給出了不同時刻ITO燒結坯等效米塞斯應力分布。圖6(a)、(b)的結果表明,此階段h外側應力高于內部,呈現由表及里的收縮趨勢,但結合圖5(b)可知,燒結坯的宏觀收縮行為尚不明顯。這是因為在較低溫度下,熱應力尚不足以顯著降低ITO粉末的表面能,因而燒結坯無法顯現出明顯的致密化[8]。在1200℃至1580℃的升溫階段,ITO燒結坯軸向長度銳減,內部等效米塞斯應力驟增,軸向應力大幅增加并顯著高于徑向應力(圖6(c)、(d)),燒結坯徑向收縮率大幅提升(圖5(b))。這是因為燒結驅動力在更高的溫度下得到了加強,使先前由表面擴散為主導的低溫燒結轉變為由晶界擴散為主導的高溫燒結[8],該轉變顯著降低了粉體的表面能,促使燒結坯在燒結應力驅動下發生顯著收縮,實現致密化。

3.2燒結溫度對ITO壓坯燒結致密化的影響
燒結溫度是調控ITO靶材性能的決定性因素,精準調控燒結的溫度窗口,是實現高性能ITO靶材的核心工藝環節。圖7給出了不同燒結溫度下,ITO燒結坯平均相對密度及收縮率隨時間的變化。從圖7(a)中可以觀察到ITO燒結坯的相對密度變化趨勢與燒結溫度加載工況呈現出一致的對應關系,即:在25℃升溫至1200℃的過程中,ITO燒結坯的相對密度增加緩慢;在1200℃至1580℃的升溫階段,ITO燒結坯的相對密度迅速增加。在1450℃至1600℃的范圍內,燒結溫度越高,燒結坯最終相對密度越大,這與前人研究結果相似 [13]。并且在溫度達到1550 °C之后,增加燒結溫度對致密度的提升十分有限。改變燒結溫度對燒結坯平均相對密度的變化趨勢沒有顯著影響,但會影響其最終平均相對密度的大小。從圖7(b)可以看出,在1450℃至1600℃的溫度區間,燒結坯的收縮率與溫度呈正相關。此外,燒結坯的軸向收縮率均大于徑向收縮率,這是由于ITO燒結坯受到沿Z軸負方向的重力作用,該方向上的附加應力與燒結應力耦合,從而加劇了軸向收縮[24]。

圖8顯示了在不同燒結溫度下,ITO燒結坯等效米塞斯應力及等效熱應變隨時間的演變。從圖 8(a)可以看出,燒結坯的等效米塞斯應力變化和溫度加載變化吻合,呈現穩定-增加-穩定的規律。燒結溫度的改變對燒結坯等效米塞斯應力的變化趨勢沒有顯著影響,但會影響燒結坯最終等效米塞斯應力的大小。在 1450℃至 1600℃的溫度區間,燒結溫度越高,燒結坯內等效米塞斯應力越大。值得注意的是,當燒結溫度從1580℃提升至1600℃時,燒結坯內的等效米塞斯應力從84.51MPa驟增至148.90MPa,這是因為ITO燒結坯的相對密度變化與收縮應力的變化規律并不呈線性關系,當相對密度超過99%后,提升致密化所需克服的阻力顯著增大。從圖8(b)可以看出,在更高的燒結溫度下,粉體間的燒結應力增大,從而使燒結坯發生更為顯著的收縮變形。因此,結合ITO燒結坯致密度與燒結坯殘余應力的影響,ITO燒結坯燒結過程中最佳燒結溫度為1580℃。

3.3升溫速率對ITO壓坯燒結致密化的影響
在ITO靶材的燒結過程中,升溫速率是影響最終產品性能的關鍵參數之一。為了保證升溫速率的合理性,本研究將對55℃/h至95℃/h的升溫速率進行研究,其中升溫速率取值選自前人文獻[25]。
圖9給出了在不同升溫速率下,ITO燒結坯平均相對密度及收縮率隨時間的變化。從圖9(a)中可以觀察到升溫速率的改變對燒結坯最終平均相對密度的大小并沒有顯著的影響,只是影響了平均相對密度的變化趨勢,即:在55℃/h至95℃/h的升溫速率區間,升溫速率越高,燒結坯致密化所用的時間越短。結合圖9(b)可知,過高的升溫速率會導致燒結坯徑向與軸向收縮率的差異增大,從而使燒結坯內部均勻性變差,對燒結坯的質量產生負面影響。因此,在確定升溫速率時,需統籌考慮致密度與燒結坯均勻性之間的平衡。

圖10給出了在不同升溫速率下,ITO燒結坯等效米塞斯應力及等效熱應變隨時間的變化。如圖10(a)所示,ITO燒結坯等效米塞斯應力變化與圖8(a)呈現相同的趨勢。升溫速率的改變對燒結坯等效米塞斯應力的變化趨勢影響不大,但會影響燒結坯最終等效米塞斯應力大小,即:在55℃/h至95℃/h的升溫速率區間,升溫速率越低,燒結坯的最終等效米塞斯應力越大。結合圖10(b)可知,在更高的升溫速率下,燒結坯內部的等效熱應變變化速率增大,導致粉體間的作用加強,從而最先達到高致密度。因此,結合ITO燒結坯致密度、均勻性與內部殘余應力的影響,ITO壓坯燒結過程中最佳升溫速率為75℃/h。

4、結論
(1)提升燒結溫度可增強燒結驅動力,使ITO燒結坯的燒結收縮更為顯著,提高了ITO燒結坯最終的平均相對密度,但也使其內部的殘余應力呈指數級升高。
(2)增大升溫速率,ITO燒結坯的燒結時間減少,有效提升了燒結效率,但過高的升溫速率會使ITO燒結坯內部的均勻性差異增加,影響靶材質量。
(3)綜合考慮燒結溫度和升溫速率對ITO燒結坯致密度、均勻性及殘余應力的影響,推薦在ITO壓坯常壓燒結過程中采用1580℃的燒結溫度和75℃/h的升溫速率。
參考文獻
[1] Calnan S, Tiwari A N. High mobility transparent conducting oxides for thin film solar cells[J].Thin Solid Films,2010,518(7):1839-1849.
[2] Granqvist C G. Transparent conductors as solar energy materials: a panoramic review[J].Solar Energy Materials and Solar Cells, 2007, 91(17): 1529-1598.
[3] Miyata T, Hikosaka T, Minami T. High sensitivity chlorine gas sensors using multicomponent transparent conducting oxide thin films[J]. Sensors and Actuators B:Chemical,2000,69(1-2):1621.
[4] Qin L H, Yan Y Q, Yu G,et al. Research progress of transparent electrode materials with sandwich structure[J]. Materials, 2021, 14(15): 4097.
[5] Yang S, Sun B, Liu Y,et al. Effect of ITO target crystallinity on the properties of sputtering deposited ITO films[J]. Ceramics International, 2020, 46(5): 6342-6350.
[6] Xu J, Yang Z, Zhang X, et al. Grain size control in ITO targets and its effect on electrical and optical properties of deposited ITO films[J]. Journal of Materials Science: Materials in Electronics,2014,25(2):710-716.
[7]趙漢斌.燒不出大號靶材,平板顯示制造仰人鼻息[N].科技日報,2018-05-18.
(Zhao Hanbin. No large target can be burned, and the flat panel display manufactures nasal polyps[N]. Science and Technology Daily, 2018-05-18.)
[8]李萌.Ti6A14V粉末冶金制備過程的數值模擬研究[D].沈陽:東北大學,2022.
(Li Meng. Numerical simulation investigation on the preparation process of Ti6Al4V using powder metallurgy[D]. Shengyang: Northeastern University,2022.)
[9]阮建明,黃培云.粉末冶金原理[M].北京:機械工業出版社,2015.
(Ruan Jianming, Huang Peiyun. Principle of powder metallurgy[M]. Beijing: China Machine Press,2015.)
[10]姜峰,譚澤旦,黃誓成,等.大尺寸氧化銦錫(ITO)靶材制備研究進展[J].廣西科學,2022,29(6):1169-1177+1187.
(Jiang Feng, Tan Zedan, Huang Shicheng, et al. Research progress on preparation of large-size Indium Tin Oxide(ITO) targets[J]. Guangxi Sciences, 2022, 29(6): 1169-1177+1187.)
[11]朱歸勝,徐華蕊.高密度氧化銦錫(ITO)靶材的制備研究[J].云南大學學報,2007,(6):601-606.
(Zhu Guisheng, Xu Huarui. Study on the preparation of ITO ceramic target with high density[J]. Journal of Yunnan University,2007,(6):601-606.)
[12] Liang F, Liu J X. Sintering, microstructure and electricity properties of ITO targets with Bi2O3-Nb2O5 addition[J]. Ceramics International, 2017, 43(8): 5856-5861.
[13]Zhai X Y, Chen Y J, Ma Y Q, et al. A new strategy of binary-size particles model for fabricating fine grain, high density and low resistivity ITO target[J]. Ceramics International,2020,46(9):13660-13668.
[14] Liu J F, Li M, Jiang C N, et al. Numerical investigation on the densification of granulated porous indium tin oxide powders before compaction[J]. Powder Technology, 2024, 438:119676.
[15]Zhang J Y, Liu J F, Li M, et al. Numerical investigation on the breakage induced densification behavior of granulated porous ITO powder during compaction[J], Materials Today Communications,2025,49:114019.
[16] Oyane M, Shima S, Kono Y. Theory of plasticity for porous metals[J]. Bull JSME, 1973,16(99):1254-1261.
[17]Shima S, Oyane M. Plasticity theory for porous metals[J]. International Journal of Mechanical Sciences, 1976, 18(6):285-291.
[18]殷亞軍,張朋,周建新,等.Ti6Al4V合金粉末熱等靜壓Shima屈服準則修正[J].華中科技大學學報,2018,46(6):14-19.
(Yin Yajun, Zhang Peng, Zhou Jianxin, et al. Correction on Shima yield criterion for Ti6Al4V powder HIP process[J]. Journal of Huazhong University of Science and Technology,2018,46(6):14-19.)
[19]劉俊飛.ITO旋轉靶材粉末冶金制備過程的數值模擬研究[D].沈陽:東北大學,2023.(Liu Junfei. Numerical simulation on the preparation process of ITO rotary target by powder metallurgy[D]. Shenyang: Northeastern University,2023.)
[20]陳火紅,Msc.Marc/Mentat2003基礎與應用實例[M].北京:科學出版社,2004.
(Chen Huohong.Msc.Marc/Mentat 2003 basic and application examples[M]. Beijing:Science Press,2004.)
[21]Jacobs A G, Schubert M, Tadjer M J, et al. A review of band structure and material properties of transparent conducting and semiconducting oxides: Ga2O3, Al2O3, In2O3,ZnO,SnO2,CdO,NiO,CuO,and Sc2O3[J]. Applied Physics Reviews,2022,9(1): 011315.
[22] Cai C, Song B, Xue P J, et al. Effect of hot isostatic pressing procedure on performance of Ti6Al4V: surface qualities, microstructure and mechanical properties[J]. Journal of Alloys and Compounds, 2016, 686: 55-63.
[23]張明杰,陳敬超,彭平,等.燒結工藝對ITO靶材致密度與電阻率的影響[J].粉末冶金材料科學與工程,2015,20(4):623-630.
(Zhang Mingjie, Chen Jingchao, Peng Ping, et al. Effect of sintering process on the density and resistivity of ITO target materials[J]. Materials Science and Engineering of Powder Metallurgy,2015,20(4):623-630.)
[24]王江.偏鈦酸鎂陶瓷燒結致密化的有限元模擬研究[D].武漢:武漢理工大學,2021.(Wang Jiang. Finite element simulation and experiments of MgTiO3 ceramics[D]. Wuhan:Wuhan University of Technology,2021.)
[25]彭浩源.常壓燒結制備ITO靶材工藝優化與性能研究[D].蕪湖:安徽工程大學,2023.
(Peng Haoyuan. Study on Process Optimization and Performance of ITO Target Prepared by Atmospheric Pressure Sintering[D]. Wuhu: Anhui Polytechnic University, 2023.)
(注,原文標題:粉末冶金制備ITO靶材燒結過程的數值模擬_唐子淵)
無相關信息